HVI系统综合了棉花分级经验和棉纤维物理性能测试技术,集电子、计算机、光学、传感器、气动技术于一体。HVI各主要测试组件都由独立的可编程伺服电动机控制,如轨道伺服电动机、长度伺服电动机、毛刷伺服电动机、取样器伺服电动机。每个伺服电动机都有一个“初始位置”传感器,以确认各组件的初始位置,使各组件按所编程序进行工作。值得注意的是各测试组件都由洁净的压缩空气作为动力。
测试时,固定在梳夹架上的梳夹通过自动取样器获取样品后,由电动机控制移动到样品梳理处对试样进行梳理。梳理结束后,梳夹(带试样)向左平移到光电扫描装置前,将试样送入长强塔内进行扫描测量,获得照影仪曲线,测得各项长度指标。然后长强塔内的前后夹持器按指定方式夹住试样进行拉伸,获得负荷—伸长曲线,测得断裂比强度和断裂伸长率。测量结束后,梳夹退出光电扫描装置,向右移动到取样器初始位置,并从取样器自动排出废棉,整个过程完全自动化运行。
(一)长度测量原理
根据梳夹上纤维试样的长度分布,用透光法经光学系统进行检测,在对测量光路的光电转换经对数除法处理后,输出与纤维数量成正比的电讯号。由于棉纤维是不均匀体,并具有中腔反射特性,因此对光电讯号采用函数发生器校正,然后进行模/数转换,获得精确的照影仪曲线,则可得出各长度指标。如50%、2.5%跨距长度和长度整齐度;平均长度、上半部平均长度和整齐度指数;根据需要仪器还可以输出照影仪曲线图形。
(二)强度测量原理
在测量到照影仪曲线后,同一试样用于强力测试。梳夹上的纤维试样处于力学检测位置,随即由夹持器在空气动力的作用下,在纤维束恒定遮光量点上将试样夹住,隔距为3.2mm。此时前夹持器固定不动,后夹持器与力传感器相连,并在步进电动机的控制下做等速牵引,直至纤维束断裂,此时获得负荷—伸长曲线。纤维的断裂比强度就是通过测量到纤维束断裂时的大强力值和断裂纤维的重量后经过光学量、马克隆值修正而计算的。
纤维束的遮光量由光学系统确定,断裂负荷由力传感器检出,断裂比强度由下式计算。

夹持器钳口处纤维遮光量与参与试验的纤维束重量成正比,与纤维的马克隆值有关。不同马克隆值的纤维透光量不同,因此加入马克隆值进行校正。所以只有测出了马克隆值,才能后得出纤维长度、强度值。
(三)马克隆值测量原理
马克隆值用一定量的棉纤维在规定条件下的透气性量表示。采用气桥原理,气路中低压空气分两路进入气桥,一路经零位计量阀和校正阀,另一路经校正计量阀和纤维试样筒排出。计量阀和校正阀的气阻固定,纤维塞的气阻随试样的不同而变化。在桥路的气压差传感器上输出一个与气压差变化成正比的电信号。经过线性放大、A/D转换送入计算机存储,并显示计算出的马克隆值。另一气路中的高压空气分别通过电磁阀和汽缸推动多孔塞压缩棉样和试样筒上盖在测试完毕后自动打开。根据苛仁纳公式,在一定流量气体下棉纤维试样两端的压差与纤维比表面积的平方成正比。而比表面积又同时与成熟度和线密度相关,也就是说气流仪读数与成熟度和线密度都有关系,这个量值就是马克隆值。马克隆值刻度是建立在已由国际协议确定其马克隆值的成套“国际校准棉花”基础上进行传递的。
(四)颜色测量原理
人眼观察物体感受到的色感觉包括色相、彩度和明度。棉花的基本色相是黄色,很接近蒙赛尔色卡的10黄红。因此可以用黄度和明度两个指标来表示。测色仪是由白光光束以45°角的方向入射到棉样的表面,在垂直方向上测量棉样表面的反射光,分析其中光谱成分和反射率的大小,获得棉样色特征值所对应的色特征区域。
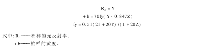
气动加压组件将棉样紧压在测试窗口上,确保每个试样的密度一致。当光源反射后被接收器接受,光电信号经过放大器放大,并经模/数转换器输入计算机系统,把棉样的反射光分析成CIE标准色度的三刺激值中的Y和Z,再计算出亨特坐标的R d 和+b值。
R d 和+b的计算公式如下:

R d 和+b的数值可以转换成美国农业部的棉花色征等级。
亨特坐标为Lab色坐标,有三个矢量,即Rd (相当于明度L)、a和b是色坐标,a表示红和绿,+a表示红色矢向,-a表示绿色矢向。b表示黄和蓝,+b表示黄色矢向,-b表示蓝色矢向。棉花的a值近似常数,无须测量。由于绝大部分棉花的基本色很接近蒙赛尔色卡中的10黄红,因此用+b作为棉花的黄度示值,而实际测得的+b与理论上的黄色饱和度示值非常近似。
(五)杂质测量原理
杂质测量是使用计算机图像处理技术测量棉花中夹带的杂质和叶屑的含量(颗粒数和面积百分率),使用一个高分辨率的摄像头扫描一定区域的试样表面。在排除棉样表面平均色征的情况下,以反射率的高低区分杂质的颗粒数,阈值控制在样品表面平均反射率的30%,所有比临界阈暗的部分都视为杂质,并以此获得杂质数量及杂质面积百分率。可见,杂质与背景的区分,取决于相对反射率,而不是杂质的色相,所以棉花的底色不会影响杂质的读数。
版权声明
本文仅代表作者观点,不代表本站立场。
发布的有些文章部分内容来源于互联网。如有侵权,请联系我们,我们会尽快删除。
- 上一篇: HVI大容量纤维测试仪 HVI技术指标
- 下一篇: MBR污水处理膜的微孔筛分作用



